舊版小屋將於 114/12/31 後正式結束服務,詳情可點擊此公告至討論串查看!

創作內容

1 GP

無聊玩了玩最近下載的HG的心得

作者:DuX│2022-11-27 19:20:28│巴幣:2│人氣:1424
嗯......
 
 
 
 
如標題
這次下載來玩的遊戲有2款
1是くろと雑貨出品的遊戲閃紅のアリエス
2是MenZ Studio出品的遊戲Atelier Tia

這兩款都屬於ARPG類型
至於為啥我會拿出來說說
只是單純的認為玩過之後相當不錯
所以就稍微發表了一下不算心得的心得(被巴



先說閃紅のアリエス
故事環繞在紅髮少女アリエス(艾麗絲)的冒險上
這是一個追查自己身世的時候順便拯救世界的故事

故事流程還算長,整體分成三大章節
遊戲本身雖然是HG,但是不管有沒有都不影響主線發展,單一結局
本來的,冒險或多或少都會發生一些情色
以往的清一色正常向冒險發展本來就不太現實
這款故事的進展表現就很不錯
遊戲系統也很好
劇情就不透漏,有興趣的自己去玩

事件結束後女主再次態上旅程,只是這次沒有使命,單純愉快的冒險,探索新事物
嗯...又一個紅髮色魔的故事(X)





然後是Atelier Tia
又名為蒂亞的煉金工坊
雖然是ARPG,但更像是副本類型的ARPG
故事流程很短,從序章到最後一共9個篇幅,即9個副本
大部分可能時間都耗在闖關找妹子(人質)上
如果不管那些分數可以直接忽視,直搗黃龍打BOSS看劇情
關卡難度在選關的時候可以自由選,無壓力

劇情系統就自己體會,我就不贅述
只能說這一連串事件都是女主的煉金術師姊搞出來的H陰謀

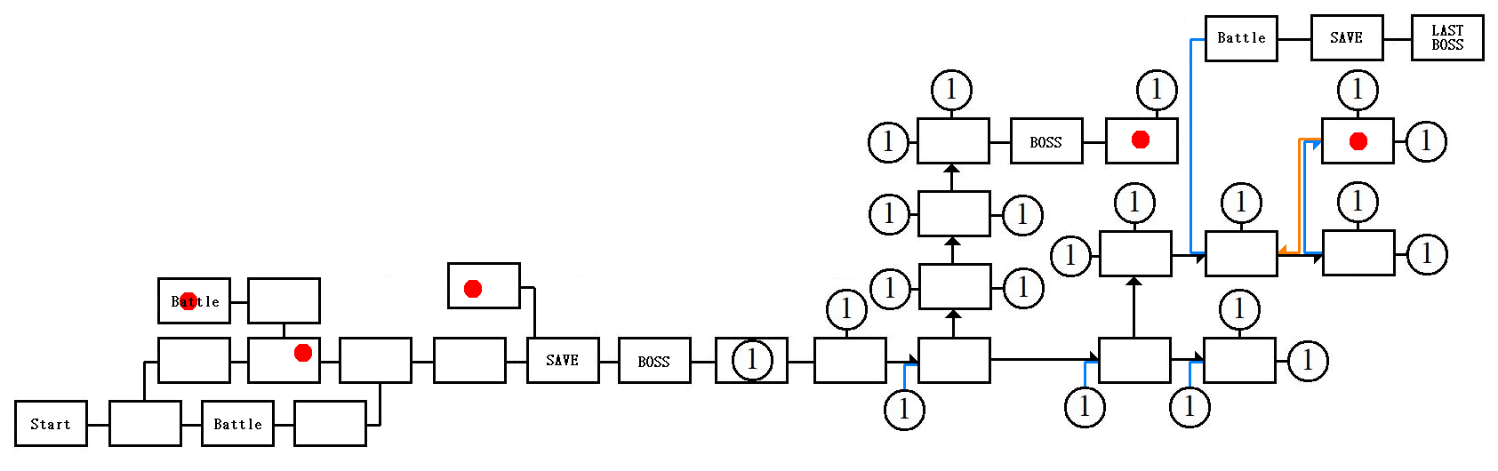
我順便分享簡單的副本地圖,有興趣就+-看吧
紅點是妹子(人質),區域連結線有箭頭的是單向
序章關 Eclairnia (Prologue)

第一關 Mountain

第二關 Cave

第三關 Forest

第四關 Snow Mountain

第五關 Volcano

第六關 Water Cave

第七關 Eclairnia (Strike Back)

最終關 Eclairnia Castle
這關進去就是直接兩場最終BOSS戰,所以也不用地圖了

就這樣囉~嗯......
教練!我也想學煉金術去造妹子!!(O








以上
引用網址:https://home.gamer.com.tw/TrackBack.php?sn=5609817
All rights reserved. 版權所有,保留一切權利

相關創作

同標籤作品搜尋:閃紅のアリエス|Atelier Tia

留言共 0 篇留言

我要留言提醒:您尚未登入,請先登入再留言

1喜歡★waynedooo 可決定是否刪除您的留言,請勿發表違反站規文字。

前一篇:把過去的EVE資料拿出來... 後一篇:本週的死神BLEACH....

追蹤私訊切換新版閱覽

作品資料夾

ilove487小屋新增文章
睽違兩年,再度出版了一本新的小說【東立/MOJOIN】看更多我要大聲說昨天22:07


face基於日前微軟官方表示 Internet Explorer 不再支援新的網路標準,可能無法使用新的應用程式來呈現網站內容,在瀏覽器支援度及網站安全性的雙重考量下,為了讓巴友們有更好的使用體驗,巴哈姆特即將於 2019年9月2日 停止支援 Internet Explorer 瀏覽器的頁面呈現和功能。
屆時建議您使用下述瀏覽器來瀏覽巴哈姆特:
。Google Chrome(推薦)
。Mozilla Firefox
。Microsoft Edge(Windows10以上的作業系統版本才可使用)

face我們了解您不想看到廣告的心情⋯ 若您願意支持巴哈姆特永續經營,請將 gamer.com.tw 加入廣告阻擋工具的白名單中,謝謝 !【教學】